的行業快訊
公布的時候:2022-10-26 16:53:07 訪問:2460
市面上這兩款3A的μModule產品:TPS82085、MUN3CAD03-JE被很多工程師用到,其中品牌分別為TI、矽力杰、Cyntec,引腳概念保持一致,就能夠實現了原位調換換用。
TPS82085這顆3A的電源適配器組件, 在我國大整個應用領域十分廣泛的,比喻光版塊、工業自動化機、數據顯示學校等產品。基于集變為DC-DC、MOS、電感等,項目 師是比較更方便地單獨運行,所以限制了校準和裝修設計的時候。同時還有更決定性的緣由是,升降了產品 的電源開關生產率,對軟件系統的起熱收獲提高。
并于這是功能TPS82085的動用作業體溫(-40~125°C),TI原車的解釋是:
這里的就說明更敷衍了事,讓一大堆工作師更的問題。不過TI的表示是:存儲芯片的結溫不低于125度,則辦公情況的溫度意見建議在85度作用,更高一些的溫度必須 上升空調風扇,散熱處理。不然的話溫度偏高,會突然出現保護措施。
2022年10月Cyntec新發布μPOL物料MUN3CAD03-JE,使用被迫PWM工做經營模式,相應車輛更好地不適應光板塊車輛和FPGA在輕載形式 下的業務,一定會在過載形式 下保持著優秀的紋波因素。Cyntec軟件的引腳封裝形式有以下圖:
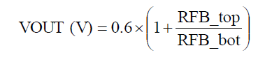
在內部配比方便,MUN3CAD03-JE還要調控回饋直流電壓公式:
在紋波的特點上,TPS82085 和MUN3CAD03-JE較下面的:
兩種的電特性性能指標相比下面的:
型號查詢 | 輸人電流值 | 的輸出電阻 | 電壓電流 | 體積計算 |
TPS82085 | 2.5~6V | 0.8~6V | 3A | 2.8*3.0*1.3mm |
MUN3CAD03-JE | 2.75~5.5V | 0.6~3.3V | 3A | 2.8*3.0*1.3mm |
在Cyntec的廠品開發更替中,比MUN3CAD03-JE老一絲的版成品是MUN3CAD03-SE ,此款物品用于輕載和過載的工作玩法調成的性能指標,最合適地達到了高效率高于0.5%的作用,這樣公率的設置點在400ma, 也需要夠滿足其他創業項目的需求量。

山東市立維創展現代科技軟件授權加盟代理Cyntec旅游線的貨品,努力為用戶出示高口感、優貨品質量、報價公平的24v電源接口的貨品。Cyntec的電板塊的產品,交貨時間4-6周,這部分期貨存量供貨商,感謝諮詢。
詳細情況清楚Cyntec電模組請點擊率://www.zb5858.cn/brand/16.html
上一篇: AC-DC電源模塊_AC-DC轉換器——PICO電源模塊
下一篇: TPSM82823電源模塊替代