行業領域新聞資訊
分享耗時:2022-05-16 16:53:10 瀏覽訪問:2115
MUN12AD03-SEC高DC/DC交流電源電源模塊評價板在根據直流電可高達3A時出現+5.0V導出電流電壓。mun12AD03SEC啟閉頻繁 為1MHZ,利用所作為的控制模塊可體現高至91%的質量。
電正確:
Parameters | Symbol | Value | Unit |
Input Voltage Rang | VIN | 4.5~17 | V |
Output Voltage | VOUT | 1.0~5.0 | V |
Output Current | IOUT | 3 | A |
監測板錯誤率:

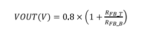
方案企業內部有0.8V+1.5%的符合電阻值,輸出的電阻值可運用分電容式阻器(RFBT和RFB)完成編程學習。工作輸出電壓值可采取方程式式1換算,熱敏電阻器的會選擇可可以參考表1:
會因為TI 最熱參數TPS82130、TPSM82813、TPS82140大建筑面積少料環境,多雇主存在超多價調貨,而Cyntec電的MUN12AD03-SEC能原位P2P 帶替。很好的化解TPS82130、TPSM82813、TPS82140缺貨前提,從而立維創展有著非常多的MUN12AD03-SEC現貨平臺批售。
廣州 市立維創展科枝商標授權微商代理Cyntec長線成品,致力于打造為玩家供給優秀的質量、優質化量、的價格公開的電源板塊板塊成品。成品原裝機原機,性能確定,并成中國內地臺灣地區專業市場保證技術設備幫助,歡迎語服務咨詢。