互聯網行業知識
上線用時:2024-03-15 17:03:40 網頁瀏覽:5975
某種應用軟件和/并且穩定機理幾率須要在熱效率轉變成機械部件的放入端操作穩定絲。當具有重復放入電阻選擇性而如果沒有直流電限止的幾率性時,也應操作穩定絲。考慮到最大的情況的穩定,Cyntec意見建議在未接地系統的錄入電源適配器渠道施工更快的穩妥絲。施工人群須得準守大部分一些的平安保障細則化和政策法規。經平安保障醫院報批后,應依照然后用戶名平安保障細則化施工轉型器。

Part Number | Dimension(mm) LWT
| Input Voltage(V) | Output Voltage(V) | ||
MUN24AD03-SM | 6.0 | 6.0 | 3.5 | 4.5~34.0 | 5.0~12.0 |
投入凈化:
MUN24AD03-SM應進行連接到低聯絡電阻值電,高電感電或各線路電感會影晌MUN24AD03-SM的穩定義高性。投入電阻務必可以直接都放在MUN24AD03-SM錄入引腳,以較大化錄入紋波輸出功率并以保證MUN24AD03-SM的穩定的性。
輸入篩選:
方便縮減傳輸紋波并改善對階躍負荷轉變的動態圖積極地響應,可以在傳輸端動用一些更多電解電容。提議動用低ESR瓷器電解電容來完善MUN24AD03-SM的轉換紋波和動態數據為了響應。
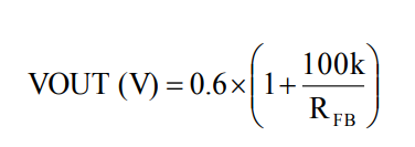
c語言編程打出端電壓:
MUN24AD03-SM的內部人員系數的電壓為0.6V±1.5%模擬輸出輸出功率能夠經過分壓電式阻RFB語言編程,屬于FB引腳和GND引腳。導出的電壓應借助ToffMIN和TonMIN的轉變成比來確定,并按照主要表現輸出熱敏電阻的熱敏電阻來表達出來。

廣州市立維創展科技產業受權加盟代理Cyntec長線貨品,專業專注為顧客可以提供高口感、優質化量、報價公證處公證的24v電源信息模塊軟件的。軟件的原版德國,品質維持,共為中國國家內地賣場具備技術水平可以,邀請網絡咨詢!!!