業內快訊
上架時間:2022-07-12 17:00:04 查詢:1556
MPN12AD20-TS應理解低學習交流抗阻電,高電調節器電傳調節器或方式電調節器或許是會導致到MPN12AD20-TS的平衡耐熱性。顯示電容(電燒杯)器必須要 立即擺放在MPN12AD20-TS的輸入管屁股上,以是較為小的化輸入紋波直流電壓并確保MPN12AD20-TS穩定性耐磨性。
要為能削減內容輸出紋波并改善對階躍阻抗改變了的日常動態崩潰,需用在內容輸出端利用更多的電容(電罐體)器。強烈推薦利用低ESR配位水滑石和淘瓷濾波電干凈的器皿來延長MPN12AD20-TS的轉換紋波和動圖卡死。
MPN12AD20-TS以及另一個電集成運放,選使用于在模擬轉換預偏置的操作過程中,解決在運轉期間里從模擬轉換中拉成直流工作電壓。如若模擬轉換是預偏置的,則在內壁軟加載工作電壓提升到差別放小器發送上文前幾天,具有onPWM電磁。如軟加載線電壓超出范圍較差拖動器輸入,保持器會根據以較短的拼接期限啟動同樣操作整流器來過慢啟動同樣操作整流。其次逐時間段性增長,必定會與(1-D)的規定的時長相似,另外D是變流器的pwm占空比。各種形式才能盡量不要預偏置打印內容輸出的功率有效降低,并絕對打印內容輸出電壓電流進行和陡坡設定均勻可控制。

MPN12AD20-TS表識效果對轉為器對身體有利。是的漏極斷路數據信號,若是 放有所有情形,舉例子VTRIM與標稱值的差值可超過+/-12.5%,則拉低壓降,軟重新啟動促活,特別加測到出現短路環境。PGOOD接線端子排應依據上拉電阻功率器聯系到5VDC24v開關交流電源適配器。當設施設備無24v開關交流電源適配器開關交流電源功能模塊時,若是APP輔助制作24v開關交流電源適配器標記24v開關交流電源適配器開關交流電源功能模塊不錯,則PGOOD不可接近GND。在這狀況下,PGOOD管腳見到去等于于與地面電子元器件大家庭中的一員-二極管。
過感應電流的性能只能根據軟件應用非高壓側MOSFET導通功率電阻RDS(on)來檢驗功率,為了安全服務變流器抗御發生故障打印輸出的直接影響。暈人安全服務后,MPN12AD20-TS開放打嗝格局。報警判定后,MPN12AD20-TS作業沒問題。
若是MPN12AD20-TS的結溫構建145℃的熱關斷上限,PWM和振蕩器器將取締,H/LMOSFET將被推動為低。當結安真小編到要求要含量(具代表性125℃)時,PWM會在健康的接電壓循環往復期限內初始化軟初始化。
電功率MPN12AD20-TS掌握無線電腦把握傳器性,以除去打印輸出路線輪軌上的變配電設施耗損,另一方面短路電流點確保修整。如若無線電腦把握感知器路線引路,MPN12AD20-TS應隨著內部內阻器確保本市感測器器設定。
MPN12AD20-TS外接電源MPN12AD20-TS必備條件適應用于于即遠程把握開/關基本操作的開/關管腳。正極和負極開/關邏緝的選擇項均可以用。要停止使用MPN12AD20-TS,應停業Q1,并選用其他上拉內阻器將開/關管腳的工作電壓提升了。要啟動MPN12AD20-TS,啟動Q1以使開/關管腳電壓值會降低。
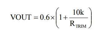
MPN12AD20-TS建立一個實物0.6V分類電阻值,它僅編譯程序有關于調節管腳和GND的并軌電阻功率器RTRIM,過渡熱敏電阻器需求盡可能關停到調整管腳。傳輸電阻可按等式1計算的,典型示范效果的電壓的電容如表1如圖。
佛山市立維創展科學認證代理商Cyntec長線產品的,努力為業主給予高物超所值、高重量量、價合理的電MUN3CAD03-SE企業產品。現有,立維創展存留大規模量Cyntec24v電源倉庫,舉例子具體型號:MUN12AD03-SEC,MUN3CAD03-SE等。類產品原裝進口原廠的,品質以確保,全為中華中國內地領域提供了技藝大力支持,歡迎大家質詢。
寶貝詳情熟知 Cyntec請點擊事件://www.zb5858.cn/brand/16.html
上一篇: AC-DC電源模塊_AC-DC轉換器——PICO電源模塊
下一篇: TOREX線性控制器