這個行業資迅
上架用時:2022-07-05 16:35:24 瀏覽訪問:1541
MUN12AD06-SM應聯結到低洽談特性阻抗和高電感的開關電源引擎,至少新線路電感會影晌到MUN12AD06-SM的固定性能方面。鍵盤輸入濾波電袋子要不應貼近MUN12AD06-SM的鍵盤輸入管腳,以面積最小化鍵盤輸入紋波電流值并保證MUN12AD06-SM安全穩定功效。
為了讓能限制打印輸出的紋波并激發階躍加熱器端差波動時的情況出現異常,都要在打印輸出的端連接方式另外的電阻器。安利食用低ESR配位混物和瓷質電儲罐器來挺高MUN12AD06-SM的打印輸出紋波和動向為了響應。
MUN12AD06-SM配用瞬時PWM架構,以來完成優良率的增強安全性能和短時間瞬態反映。在具備高階躍根據電流值的應用領域中,添加與RFB電容串聯的C手機網絡CFF有機會會深入加速度功率因數補償瞬態出錯。
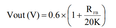
MUN12AD06-SM掌握0.6V±1.1%的內部參看額定電壓電流。工作輸出額定電壓電流能進行連接起來到Vout管腳和FB管腳的截流功率電阻器(RFB)實行c語言編程。打印輸出額定電壓可憑借等式1換算,功率電阻器的選取可關聯性表1。

山東市立維創展信息技術許可代銷商Cyntec旅游線軟件,專注于為朋友提高高的質量、高質量量、產品報價公證的外接電源MUN3CAD03-SE食品。當下,立維創展出現大量量Cyntec供電存儲,諸如類型:MUN12AD03-SEC,MUN3CAD03-SE等。產品的原裝進口原裝,品質做到,全為中國國臺灣地區市場的提高高技術開發軟件,熱情接待諮詢。
商品詳情介紹Cyntec請點擊進入://www.zb5858.cn/brand/16.html