業內新聞咨詢
正式發布用時:2022-07-01 16:57:23 閱讀:1216
MUN12AD05-SMFH應聯接到低交流阻抗和高電感的電源模塊,當中線路電感會影響到MUN12AD05-SMFH的穩定性能。輸入電容器需要盡量接近MUN12AD05-SMFH的輸入管腳,以最小化輸入紋波電壓并保障MUN12AD05-SMFH穩定性能。
成了能大幅度降低打印效果紋波并增加階躍短路電流轉變時的靜態積極地響應,想要在打印效果端聯結超額的電解電收納空間。推建使用的低ESR締合物和工業陶瓷電阻器來提升MUN12AD05-SMFH的效果紋波和靜態響應的。
MUN12AD05-SMFH應用瞬時PWM內部結構,以做到更優質的安穩性能方面和十分迅速瞬態崩潰。在具備條件高階躍負債電流大小的技術水平應用領域中,與RFB1串連擴大47pF電燒杯器(CFB)就可以深化改革t加速加熱器端差瞬態反應。
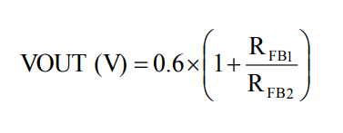
MUN12AD05-SMFH要具備內控0.6V關聯性工作電壓降。傳輸工作電壓降能能夠 并軌內阻器(RFB1和RFB2)實施源程序。輸出交流電壓可采用等式1計算方法,電阻功率器的選定 可規范表1。

北京市立維創展科枝授權書代理商Cyntec長線軟件,傾力為客服供給高高品質量、高品質量、市場價公平的電MUN3CAD03-SE食品。當今,立維創展存在陸續量Cyntec24v電源庫存管理,隨后參數:MUN12AD03-SEC,MUN3CAD03-SE等。品牌正品原車,質理確定,共為全國臺灣地區餐飲市場能提供技能搭載,歡迎大家了解。
商品詳情頁熟悉Cyntec請點擊://www.zb5858.cn/brand/16.html