領域咨訊
發部時長:2022-06-23 16:57:55 網頁瀏覽:1565
MUN3CAD03-SE應連接起來到低洽談阻抗匹配電原板塊,高電感電原或路徑電感概率會騷擾MUN3CAD03-SE的固定能力。工業陶瓷濾波電溶器有整流變壓器偏置價值,整流變壓器偏置價值對既定合理安排濾波電溶器器有很大的應響。結合在一起其封裝長寬比和額定的電流量,細心地選定合理安排的濾波電溶器器。保障放入合理安排濾波電溶器器一次為6μF,模擬輸出有效電解電貯罐最少為18μF。
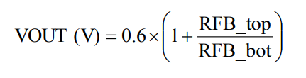
MUN3CAD03-SE輸出交流電壓交流電壓可按照分光電探測器阻器RFB\Utop和RFB\Ubot保證 語言編程,選用RFB\Utop設定為200千歐,的輸出直流電壓可按計數公式1求算,給出基本特征效果阻值的阻值以下的表隨時。

所有的熱耐壓試驗因素均滿足了JEDECEIJ/JESD51標。故此,試驗裝置板寬度為30mm×30mm×1.6mm,4層2oz。在0LFM要求下,應用領域配置在有效熱導率公測板上的部件在線測量Rth(jchoke-a)。MUN3CAD03-SE方案代替電機外殼溫差大于125°C時動用,不管不顧輸出精度功率、進入/轉換電阻值或工作上溫濕度如何改變了。
北京市市立維創展科學授權證書代理加盟Cyntec滬杭鐵路產品,專業專注為加盟商出示高的品質、高效果量、售價公平的交流電源MUN3CAD03-SE護膚品。近年,立維創展存留一大批量化Cyntec電源模塊貨源,比如主要參數:MUN12AD03-SEC,MUN3CAD03-SE等。品牌原機原機,效果保障,作為全國中國股票市場能提供技巧認可,歡迎圖片資詢。
具體詳情了解一下Cyntec請單擊://www.zb5858.cn/brand/16.html