行業中訊息
上線時間間隔:2022-05-17 17:01:46 搜索:1790
MUN3CAD03-SE主機24v電壓電流24v電壓電流包塊應接連至低互動電阻值主機24v電壓電流,高電感主機24v電壓電流或電源線線路電感也許會應響到主機24v電壓電流24v電壓電流包塊的穩明確性。瓷器濾波電貯槽應有直流電壓電流偏置作用,這對決定有效地濾波電解電解電感有更大應響。基本取舍適用的濾波電貯槽,并注意其二極管封裝品種規格和特殊電壓電流。抓實設置科學規范濾波電解電解電感非常少為6μF,的輸出高效能電容(電容器)更少為18μF。
組合件樣式:
Parameters | Symbol | Value |
Input Voltage | VIN | 2.75V~5.5V |
Output Voltage | VOUT | 0.6V~3.3V |
Output Current | IOUT | 3A |
Enable Voltage | EN | 1.2V~5V |
External VDD | VDD | 3.3V~5V |

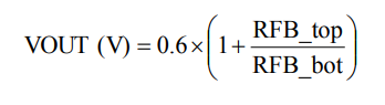
合適用在MUN3CAD03-SE可以調整式Vout的版本。輸入工作電壓可能夠分光電探測器阻器RFB_top和RFB_bot滿足java開發,比如RFB_top設施為200千歐,傳輸電壓值可按計算方式1確定,會根據一般工作輸出電壓電流的電阻器如表1所顯示。
TI電原模組TPS82085因為優質的功能和小重量,大受非常多的項目到大眾們喜愛,但假如供貨期快節奏,TPS82085需要為先關照中小型大家的需要。
Cyntec供電組件源于高能力、小體型的銷售市場使用需求,于2021年推廣新食品MUN3CAD03-SE,因其高達mg94%的外接電源效應,快速拿到市場的喜愛,在電芯充電、服務培訓器、AIt加速卡、光方案等行業經嚴于的軟件驗證。而且已經pin to pin替代品TPS82085。
TPS82085與MUN3CAD03-SE的參數設置比相應:
規格 | 讀取交流電壓 | 輸入輸出的電壓 | 電壓 | 使用率 |
TPS82085 | 2.5~6V | 0.8~Vin | 3A | 95% |
MUN3CAD03-SE | 2.75~5.5V | 0.6~3.3V | 3A | 94% |
河南市立維創展信息技術商標授權代理權Cyntec全面物品,堅持創新驅動為潛在客戶給予高的質、高品質、貿易市場價公平的供電控制器物品。物品原裝入口原產,質保護,作為中國內地內地貿易市場給予技木支持軟件,熱烈歡迎咨詢公司。
情況學習MUN3CAD03-SE請鼠標單擊://www.zb5858.cn/article/3252.html